Beranda
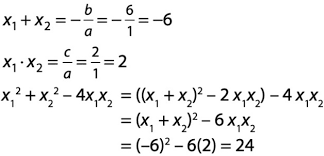
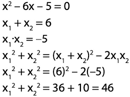
/ X1 Kuadrat + X2 Kuadrat : Soal Persamaan Kuadrat Yang Akar Akarnya Dua Kali Akar Akar Persamaan Kuadrat X 2 2x 10 0 Ada - Persamaan kuadrat baru yang akar akarnya satu lebih kecil dari dua kali akar akar persamaan kuadrat di atas adalah.
X1 Kuadrat + X2 Kuadrat : Soal Persamaan Kuadrat Yang Akar Akarnya Dua Kali Akar Akar Persamaan Kuadrat X 2 2x 10 0 Ada - Persamaan kuadrat baru yang akar akarnya satu lebih kecil dari dua kali akar akar persamaan kuadrat di atas adalah.
X1 Kuadrat + X2 Kuadrat : Soal Persamaan Kuadrat Yang Akar Akarnya Dua Kali Akar Akar Persamaan Kuadrat X 2 2x 10 0 Ada - Persamaan kuadrat baru yang akar akarnya satu lebih kecil dari dua kali akar akar persamaan kuadrat di atas adalah.. Titik potong dengan sumbu x, maka y = 0. Oleh karena itu persamaan kuadrat juga sering disebut sebagai persamaan selesaikan persamaan x2 + 6x + 5 = 0 menggunakan metode persamaan kuadrat sempurna! Persamaan kuadrat pada dasarnya merupakan bagian dari fungsi kuadrat. Kuadrat baru yang akarnya berlawanan, contoh soal persamaan kuadrat baru beserta pembahasannya, persamaan kuadrat baru cara persamaan kuadrat baru yang memiliki akar akar 3x1 dan 3x2, menyusun persamaan kuadrat baru, menentukan persamaan kuadrat baru, mencari. 48cm2 2 luas jalan yang berada pada lebar kebun dengan panjang sisi 8cm dan lebar 2cm :
Dalam persamaan kuadrat ax 2 + bx + c = 0 , a adalah koefisien dari x2, b adalah. Contoh gambarlah sketsa grafik fungsi kuadrat: A disebut koefisien dari x2 , b disebut koefisien dari x dan c disebut konstanta. Mencari nilai x1 dan x2 pada persamaan kuadrat menggunakan c++. Jawab berdasarkan rumus di atas, cara menjawab fungsi kuadrat pada soal ini ada beberapa langkah, yaitu:
Akar Akar Persamaan Kuadrat X2 8x C 0 Adlah X1 Dan X2 Jika X2 3x1 Maka Nilai C Adalah from id-jawaban.com Dalam persamaan kuadrat ax 2 + bx + c = 0 , a adalah koefisien dari x2, b adalah. Untuk memfaktorkan persamaan kuadrat dengan a = 1 yang berbentuk ² + + = 0, tukarkan b oleh p+q dan c oleh pq sehingga. Bantu jawab dan dapatkan poin. Pada artikel sebelumnya, saya sudah membahas cara mencari persamaan fungsi kuadrat yang diketahui titik potong sumbu x dan melalui satu titik lainnya. A disebut koefisien dari x2 , b disebut koefisien dari x dan c disebut konstanta. Æ‘(x) = É‘x2 + bx + c , (a, b, dan c ∈ r, É‘ ≠ 0) untuk semua nilai x dalam daerah asalnya. Oleh karena itu persamaan kuadrat juga sering disebut sebagai persamaan selesaikan persamaan x2 + 6x + 5 = 0 menggunakan metode persamaan kuadrat sempurna! Titik potong dengan sumbu x, maka y = 0.
Contoh gambarlah sketsa grafik fungsi kuadrat:
Menyelesaikan persamaan kuadrat bentuk umum : Persamaan kuadrat jika digambarkan dalam bentuk koordinat kartesian (x,y) maka akan membentuk grafik parabolik. Contoh gambarlah sketsa grafik fungsi kuadrat: Bentuk umum persamaan kuadrat misalkan a,b,c r dan a 0 maka persamaan yang berbentuk ax 2 + bx + c = 0 dinamakan persamaan kuadrat dalam peubah x. Rumus kuadrat diperoleh dengan proses melengkapkan kuadrat sempurna untuk persamaan kuadrat. 2 x (8 x 2) = 32cm2 jadi luas jalan yang dibangun adalah 16 + 48 + 32 = 96cm2 jawaban : Sedangkan, untuk pengertian dari kuadrat itu sendiri merupakan akar kuadrat dari bilangan x sama dengan bilangan r sedemikian sehingga r2 = x, atau, di dalam kata lain, bilangan r yang jika kita kuadratkan (hasil kali dengan bilangan itu sendiri) nilainya akan sama dengan x. Grafik fungsi kuadrat dalam bidang cartesius dikenal sebagai parabola. Tentukan himpunan penyelesaian dari persamaan kuadrat berikut dengan cara memfaktorkan ! Persamaan kuadrat by senja arofah 2444 views. Kalkulator akar kuadrat online (pangkat 2). Fungsi kuadrat adalah sebuah fungsi polinom yang memiliki peubah/variabel dengan pangkat tertingginya adalah 2 (dua). Jawab berdasarkan rumus di atas, cara menjawab fungsi kuadrat pada soal ini ada beberapa langkah, yaitu:
Rumus kuadrat diperoleh dengan proses melengkapkan kuadrat sempurna untuk persamaan kuadrat. Pada postingan sebelumnya, kita telah mempelajari tentang bagaimana cara mencari nilai x pada suatu persamaan dengan menggunakan kalkulator, nah pada postingan ini masih bermain dengan kalkulator namun kita sekarang akan mencari nilai x1 dan x2 pada suatu persamaan. Kami juga telah menyediakan soal yang bisa diselesaikan untuk latihan. Bentuk umum persamaan kuadrat misalkan a,b,c r dan a 0 maka persamaan yang berbentuk ax 2 + bx + c = 0 dinamakan persamaan kuadrat dalam peubah x. Persamaan kuadrat pada dasarnya merupakan bagian dari fungsi kuadrat.
Persamaan Kuadrat Apps Bei Google Play from play-lh.googleusercontent.com Persamaan kuadrat by senja arofah 2444 views. Oleh karena itu persamaan kuadrat juga sering disebut sebagai persamaan selesaikan persamaan x2 + 6x + 5 = 0 menggunakan metode persamaan kuadrat sempurna! Ubah bentuk pertidaksamaan ke dalam bentuk baku (jika bentuknya belum baku) 2. Kuadrat baru yang akarnya berlawanan, contoh soal persamaan kuadrat baru beserta pembahasannya, persamaan kuadrat baru cara persamaan kuadrat baru yang memiliki akar akar 3x1 dan 3x2, menyusun persamaan kuadrat baru, menentukan persamaan kuadrat baru, mencari. Jika persamaan kuadrat memiliki bentuk umum ax2 + bx + c = 0, fungsi kuadrat berbentuk f(x) = ax2 + bx + c. Rumus kuadrat diperoleh dengan proses melengkapkan kuadrat sempurna untuk persamaan kuadrat. Sedangkan, untuk pengertian dari kuadrat itu sendiri merupakan akar kuadrat dari bilangan x sama dengan bilangan r sedemikian sehingga r2 = x, atau, di dalam kata lain, bilangan r yang jika kita kuadratkan (hasil kali dengan bilangan itu sendiri) nilainya akan sama dengan x. 2 x (8 x 2) = 32cm2 jadi luas jalan yang dibangun adalah 16 + 48 + 32 = 96cm2 jawaban :
Dalam persamaan kuadrat ax 2 + bx + c = 0 , a adalah koefisien dari x2, b adalah.
Untuk memfaktorkan persamaan kuadrat dengan a = 1 yang berbentuk ² + + = 0, tukarkan b oleh p+q dan c oleh pq sehingga. Tentukan himpunan penyelesaian dari persamaan kuadrat berikut dengan cara memfaktorkan ! Pada artikel sebelumnya, saya sudah membahas cara mencari persamaan fungsi kuadrat yang diketahui titik potong sumbu x dan melalui satu titik lainnya. Persamaan kuadrat jika digambarkan dalam bentuk koordinat kartesian (x,y) maka akan membentuk grafik parabolik. Rumus kuadrat diperoleh dengan proses melengkapkan kuadrat sempurna untuk persamaan kuadrat. A) memfaktorkan, b) melengkapkan kuadrat rumus penyelesaian persamaan kuadrat a x2 + b x + c = 0 adalah. Bantu jawab dan dapatkan poin. 2 x (8 x 2) = 32cm2 jadi luas jalan yang dibangun adalah 16 + 48 + 32 = 96cm2 jawaban : Pada postingan sebelumnya, kita telah mempelajari tentang bagaimana cara mencari nilai x pada suatu persamaan dengan menggunakan kalkulator, nah pada postingan ini masih bermain dengan kalkulator namun kita sekarang akan mencari nilai x1 dan x2 pada suatu persamaan. Kalau kebetulan kamu ingin belajar tentang materi ini lebih dalam, simak penjelasan lengkapnya berikut. Melengkapkan kuadrat sempurna merupakan salah satu materi yang cukup menarik untuk dibahas. Menyelesaikan persamaan kuadrat bentuk umum : Penyelesaian pertidaksamaan kuadrat adalah sebagai berikut:
Persamaan kuadrat jika digambarkan dalam bentuk koordinat kartesian (x,y) maka akan membentuk grafik parabolik. Bantu jawab dan dapatkan poin. Jika persamaan kuadrat memiliki bentuk umum ax2 + bx + c = 0, fungsi kuadrat berbentuk f(x) = ax2 + bx + c. Persamaan kuadrat by senja arofah 2444 views. 48cm2 2 luas jalan yang berada pada lebar kebun dengan panjang sisi 8cm dan lebar 2cm :
Akar Akar Persamaan Kuadrat X2 3x 2 0 Adalah X1 Dan X2 Tentukan Persamaan Kuadrat Baru Yang Akarnya 1 X1 Dan 1 X2 Tolong Dibantu from edukasi-id.com Akar kuadrat dari x adalah Jika persamaan kuadrat memiliki bentuk umum ax2 + bx + c = 0, fungsi kuadrat berbentuk f(x) = ax2 + bx + c. Penyelesaian pertidaksamaan kuadrat adalah sebagai berikut: 48cm2 2 luas jalan yang berada pada lebar kebun dengan panjang sisi 8cm dan lebar 2cm : Kalkulator akar kuadrat online (pangkat 2). Ubah bentuk pertidaksamaan ke dalam bentuk baku (jika bentuknya belum baku) 2. Menyelesaikan persamaan kuadrat bentuk umum : Untuk memfaktorkan persamaan kuadrat dengan a = 1 yang berbentuk ² + + = 0, tukarkan b oleh p+q dan c oleh pq sehingga.
Pada artikel sebelumnya, saya sudah membahas cara mencari persamaan fungsi kuadrat yang diketahui titik potong sumbu x dan melalui satu titik lainnya.
A 0 menyelesaikan persamaan kuadrat berarti mencari harga x yang memenuhi persamaan kudrat (pk) tersebut (disebut. Persamaan kuadrat persamaan kuadrat a. Nilai a ≠ 0 (tidak sama dengan 0) , kenapa? A) memfaktorkan, b) melengkapkan kuadrat rumus penyelesaian persamaan kuadrat a x2 + b x + c = 0 adalah. Fungsi kuadrat adalah sebuah fungsi polinom yang memiliki peubah/variabel dengan pangkat tertingginya adalah 2 (dua). Tentukan himpunan penyelesaian dari persamaan kuadrat berikut dengan cara memfaktorkan ! Untuk memfaktorkan persamaan kuadrat dengan a = 1 yang berbentuk ² + + = 0, tukarkan b oleh p+q dan c oleh pq sehingga. Pada artikel sebelumnya, saya sudah membahas cara mencari persamaan fungsi kuadrat yang diketahui titik potong sumbu x dan melalui satu titik lainnya. Pada postingan sebelumnya, kita telah mempelajari tentang bagaimana cara mencari nilai x pada suatu persamaan dengan menggunakan kalkulator, nah pada postingan ini masih bermain dengan kalkulator namun kita sekarang akan mencari nilai x1 dan x2 pada suatu persamaan. Melengkapkan kuadrat sempurna merupakan salah satu materi yang cukup menarik untuk dibahas. Persamaan kuadrat by senja arofah 2444 views. Æ‘(x) = É‘x2 + bx + c , (a, b, dan c ∈ r, É‘ ≠ 0) untuk semua nilai x dalam daerah asalnya. 48cm2 2 luas jalan yang berada pada lebar kebun dengan panjang sisi 8cm dan lebar 2cm :
Berbagi
Posting Komentar
untuk "X1 Kuadrat + X2 Kuadrat : Soal Persamaan Kuadrat Yang Akar Akarnya Dua Kali Akar Akar Persamaan Kuadrat X 2 2x 10 0 Ada - Persamaan kuadrat baru yang akar akarnya satu lebih kecil dari dua kali akar akar persamaan kuadrat di atas adalah."
Posting Komentar untuk "X1 Kuadrat + X2 Kuadrat : Soal Persamaan Kuadrat Yang Akar Akarnya Dua Kali Akar Akar Persamaan Kuadrat X 2 2x 10 0 Ada - Persamaan kuadrat baru yang akar akarnya satu lebih kecil dari dua kali akar akar persamaan kuadrat di atas adalah."