Beranda
/ Contoh Soal Suku Tengah Barisan Geometri / Kumpulan Rumus Barisan Deret Aritmatika Geometri Contoh Soal / Contoh soal barisan dan deret aritmatika dan geometri 2 merupakan kumpulan soal barisan dan deret aritmatika serta geometri untuk soal dengan level kognitif.
Contoh Soal Suku Tengah Barisan Geometri / Kumpulan Rumus Barisan Deret Aritmatika Geometri Contoh Soal / Contoh soal barisan dan deret aritmatika dan geometri 2 merupakan kumpulan soal barisan dan deret aritmatika serta geometri untuk soal dengan level kognitif.
Contoh Soal Suku Tengah Barisan Geometri / Kumpulan Rumus Barisan Deret Aritmatika Geometri Contoh Soal / Contoh soal barisan dan deret aritmatika dan geometri 2 merupakan kumpulan soal barisan dan deret aritmatika serta geometri untuk soal dengan level kognitif.. Dari suku tengah dari baris aritmatika ialah suku ke 1/2 ( n + 1 ). Contoh soal barisan dan deret aritmatika dan geometri 2 merupakan kumpulan soal barisan dan deret aritmatika serta geometri untuk soal dengan level kognitif. Suku tengah u2 = 31 222. U1 u10 u19 96 a a 9b a 18b 96 3a 27b. 9 maka = 22 1 = 24.2 2 = 16 2 8 e.
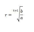
Diantara 2 dan 162 disisipkan 3 bilangan, sehingga terjadi sebuah barisan geometri baru. Dari kedua persamaan di atas kita dapat menurunkan suatu rumus yang menyatakan hubungan antara suku. Jika banyak suku (n) ganjil, suku tengah (ut) barisan geometri dapat dirumuskan sebagai berikut. Contoh soal dan pembahasan deret geometri. Dengan a merupakan suku awal dan r ialah nilai rasio dari sebuah barisan geometri.
Kumpulan Contoh Soal Suku Tengah Barisan Geometri Terupdate Dikdasmen from i.ytimg.com Diketahui bahwa , , maka dapat digunakan rumus : Tips dan trik barisan aritmatika. 2, 4, 8, 16, 32, 64, 128, 256,. Apabila suatu barisan aritmatika mempunyai jumlah suku ganjil maka akan mempunyai suku tengah. Materi lengkap rumus barisan aritmatika, deret aritmatika, barisan geometri, dan deret geometri + contoh soal dan jawaban. Suku tengah u2 = 31 222. Coba kerjakan latihan contoh soal barisan aritmatika di bawah ini. Contoh soal dan pembahasan menentukan suku tengah dari suatu barisan geomteri.
Jadi suku tengahnya adalah 18 dan terletak pada suku ke 3.
Soal 1 barisan dan deret. Coba kerjakan latihan contoh soal barisan aritmatika di bawah ini. Suku tengah u2 = 31 222. Dimana ak yaitu sembarang suku dari barisan geometri yang ada. Sementara itu, jika di antara dua buah suku u1,u2,u3,…,un disisipkan k buah bilangan sehingga terbentuk barisan geometri baru, rasio dan banyak suku dari barisan tersebut akan berubah sesuai rumusan berikut. Diketahui bahwa , , maka dapat digunakan rumus : Nah mari kita coba dengan contoh soal dalam bentuk barisan geometri. Maka tentukanlah suku ke 2 dari barisan geometri tersebut. Soal seperti ini sangat sering sekali keluar dalam ulangan ataupun ujian matematika. Contoh 1 2, 4, 8, 16, 32 banyaknya suku 5, nilai suku tengahnya 8 contoh 2 3, 6, 12, 24, 48, 96, 192 banyaknya suku 7, nilai suku tengahnya 24 contoh 3 1, 3, 9, 27 banyaknya suku 4, nilai suku tengahnya tidak ada. 2) diberikan barisan geometri 1, 8, 64, 512. Sementara ak+1 yaitu suku selanjutnya setelah ak. Jika banyak suku (n) ganjil, suku tengah (ut) barisan geometri dapat dirumuskan sebagai berikut.
Pengertian rumus contoh soal barisan dan deret geometri beserta penjelasan lengkap terdapat dua jenis barisan dan deret di dalam matematika yaitu barisan dan deret aritmatika barisan dan deret geometri. Suku tengah u2 = 31 222. Contoh soal dan pembahasan deret geometri. Hitunglah besarnya u 32 dari barisan 7, 9, 11, 13, 15, 17, 19, 21, 23, 25. Contoh lain dari barisan geometri:
Rumus Barisan Dan Deret Aritmatika Dan Geometri Serta Pembahasan Dan Perbedaannya Jogjamatematika from jogjamatematika.files.wordpress.com Secara umum kita dapat menulis barisan (urutan) geometrik seperti berikut : U 9 2 x 3 8. Contoh soal barisan dan deret aritmatika/geometri dan pembahasan 1. 2, 4, 8, 16, 32, 64, 128, 256,. Dimana ak yaitu sembarang suku dari barisan geometri yang ada. Salah satunya adalah materi baris dan deret geometri yang mulai diajarkan kepada siswa secara bertahap. Nah mari kita coba dengan contoh soal dalam bentuk barisan geometri. Barisan geometri suku tengahnya 1.
Nilai tengah barisan geometri barisan bilangan yang memiliki suku tengah apabila banyak sukunya ganjil.
Pengertian rumus contoh soal barisan dan deret geometri beserta penjelasan lengkap terdapat dua jenis barisan dan deret di dalam matematika yaitu barisan dan deret aritmatika barisan dan deret geometri. Barisan ini terdiri dari barisan aritmatika serta barisan geometri. U 9 2 x 3 8. Dari kedua persamaan di atas kita dapat menurunkan suatu rumus yang menyatakan hubungan antara suku. Contoh soal barisan serta deret di bawah ini juga cocok digunakan untuk siswa smp kelas 8 & 9, serta sma kelas 10, 11, bahkan 12. Barisan ini memiliki rasio 2 (r=2) setiap suku (kecuali suku pertama) merupakan hasil perkalian suku sebelumnya dengan 2. Contoh soal suku tengah barisan aritmatikaartinya kita dapat menggunakan rumus suku tengah dengan syarat kita haru mengetahui suku. Secara umum kita dapat menulis barisan (urutan) geometrik seperti berikut : Misalkan barisan geometri yang terdiri atas 3 suku u1, u2, u3, maka suku tengahnya adalah u2. Jika barisan aritmatika mempunyai banyak suku n ganjil dengan suku pertama a dan suku terakhir un maka suku tengah ut dari barisan tersebut adalah sebagai berikut. Bila masih belum puas dengan nilai yang kamu dapat, pelajari ulang materi tentang barisan aritmatika atau arithmetic sequences. Diketahui bahwa , , maka dapat digunakan rumus : Suku tengah barisan aritmatika n ganjil dengan suku pertama a dan suku terakhirr un maka suku tengah ut dari barisan tersebut dirumuskan sebagai berikut.
Kerjakan berulang kali karena di dalamnya berisi banyak sekali latihan soal barisan aritmatika. U1 u10 u19 96 a a 9b a 18b 96 3a 27b. Pengertian rumus contoh soal barisan dan deret geometri beserta penjelasan lengkap terdapat dua jenis barisan dan deret di dalam matematika yaitu barisan dan deret aritmatika barisan dan deret geometri. Ut 12 aun contoh soal. Materi lengkap rumus barisan aritmatika, deret aritmatika, barisan geometri, dan deret geometri + contoh soal dan jawaban.
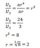
Contoh Soal Suku Tengah Barisan Geometri Literatur from s1.studylibid.com Contoh lain dari barisan geometri: Un ar n 1 u 5 a x 3 5 1. Suku tengah dan terakhir dari barisan geometri adalah 48 dan 768. Pengertian rumus contoh soal barisan dan deret geometri beserta penjelasan lengkap terdapat dua jenis barisan dan deret di dalam matematika yaitu barisan dan deret aritmatika barisan dan deret geometri. Coba kerjakan latihan contoh soal barisan aritmatika di bawah ini. Contoh soal deret geometri suku tengah. Sehingga diperoleh hubungan ut2 = ( u1. 2) diberikan barisan geometri 1, 8, 64, 512.
Dengan a merupakan suku awal dan r ialah nilai rasio dari sebuah barisan geometri.
Bila masih belum puas dengan nilai yang kamu dapat, pelajari ulang materi tentang barisan aritmatika atau arithmetic sequences. Jika barisan aritmatika mempunyai banyak suku n ganjil dengan suku pertama a dan suku terakhir un maka suku tengah ut dari barisan tersebut adalah sebagai berikut. Contoh soal barisan serta deret di bawah ini juga cocok digunakan untuk siswa smp kelas 8 & 9, serta sma kelas 10, 11, bahkan 12. A rasio barisan geometri baru b suku tengah barisan geometri baru dan letaknya. Jadi suku tengahnya adalah 18 dan terletak pada suku ke 3. 2) diberikan barisan geometri 1, 8, 64, 512. Maka dari nilai suku tengah bisa di dapatkan: Materi lengkap rumus barisan aritmatika, deret aritmatika, barisan geometri, dan deret geometri + contoh soal dan jawaban. Dengan a merupakan suku awal dan r ialah nilai rasio dari sebuah barisan geometri. Suku tengah barisan aritmatika n ganjil dengan suku pertama a dan suku terakhirr un maka suku tengah ut dari barisan tersebut dirumuskan sebagai berikut. Suku tengah (benar) dari eksperimen ini dapat kita tarik kesimpulan bahwa rumus suku tengah barisan geometri adalah akar dari perkalian suku pertama dan suku terakhir, dengan syarat banyak sukunya harus ganjil. Barisan ini memiliki rasio 2 (r=2) setiap suku (kecuali suku pertama) merupakan hasil perkalian suku sebelumnya dengan 2. Suku tengah suatu barisan geometri dapat ditentukan melalui deskripsi berikut ini :
Berbagi
Posting Komentar
untuk "Contoh Soal Suku Tengah Barisan Geometri / Kumpulan Rumus Barisan Deret Aritmatika Geometri Contoh Soal / Contoh soal barisan dan deret aritmatika dan geometri 2 merupakan kumpulan soal barisan dan deret aritmatika serta geometri untuk soal dengan level kognitif."
Posting Komentar untuk "Contoh Soal Suku Tengah Barisan Geometri / Kumpulan Rumus Barisan Deret Aritmatika Geometri Contoh Soal / Contoh soal barisan dan deret aritmatika dan geometri 2 merupakan kumpulan soal barisan dan deret aritmatika serta geometri untuk soal dengan level kognitif."